• Предмет: Алгебра
  • Автор: Аноним
  • Вопрос задан 3 года назад

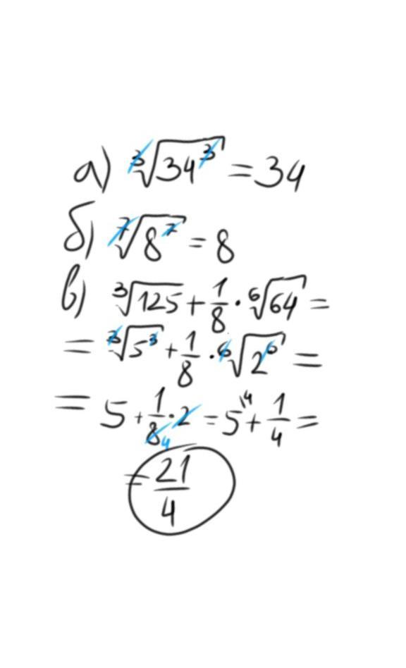
Решить все на листке

Приложения:

Ответы

Ответ дал: terminator81
0

вот решение. простите, листочка под рукой не было

Приложения:
Вас заинтересует