Нужна помощь по домашке по алгебре за 7 класс
Приложения:

Miа16:
Какой вариант?
Ответы
Ответ дал:
1
Ответ:
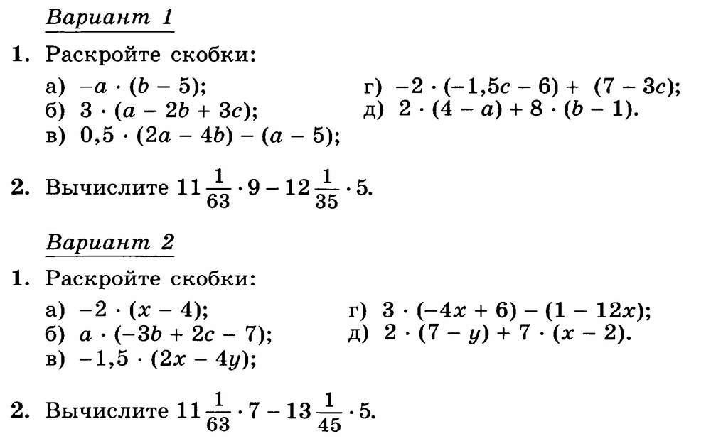
Вариант 1
Задание 1
А)
Б)
В)
Г)
Д)
Задание 2
1)
Вас заинтересует
2 года назад
2 года назад
2 года назад
7 лет назад
9 лет назад