• Предмет: Информатика
  • Автор: mishasdddkova1965
  • Вопрос задан 3 года назад

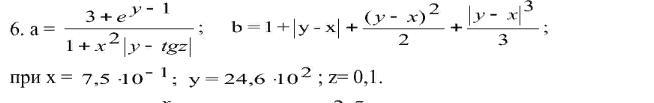
Помогите нужно просто формулу представленную правильно забить на паскале

Приложения:

Ответы

Ответ дал: baranovakim1
0

Я сам незнаю

Объяснение:

Вас заинтересует