Ответы
Ответ дал:
0
Ответ:
решение на фотографии
Приложения:

1822287:
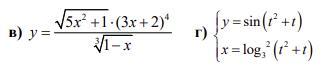
помогите алгебра
Вас заинтересует
2 года назад
7 лет назад
7 лет назад