• Предмет: Математика
  • Автор: gladkovvlad07
  • Вопрос задан 3 года назад

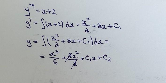
найти общее решение неполного дифференциального уравнения второго порядка уʺ = х+ 2;

Ответы

Ответ дал: Miroslava227
0

Ответ:

решение на фотографии

Приложения:
Вас заинтересует