• Предмет: Математика
  • Автор: moonstar555
  • Вопрос задан 3 года назад

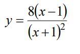
Определите точки разрыва функции
y=\frac{8(x-1)}{(x+1)^2}

Приложения:

Espadov: Фото пришли
moonstar555: Пришло?
moonstar555: Я уже в отчаянии( Односторонние пределы в этой функции равны -∞, но она не может иметь разрыв второго рода, потому что односторонние пределы равны значению предела в точке -1, но также она не может быть непрерывной, потому что она не определена в этой функции. И какой она тогда является!? Если она не является непрерывной и не имеет ни разрыв первого рода, ни разрыв второго рода

Ответы

Ответ дал: Espadov
1

Пошаговое объяснение:

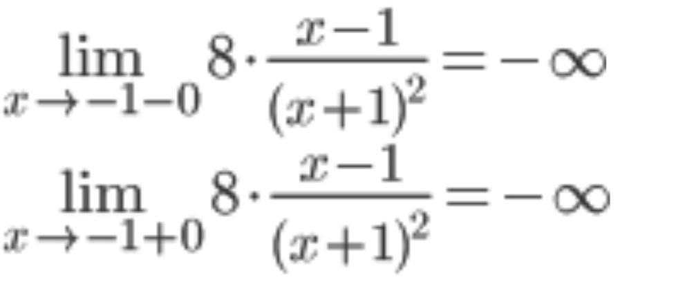
Исследуем данную функцию на непрерывность:

Найдем точки разрыва функции внутри указанной области.

Находим переделы в точке x=-1

В этой точке функция терпит разрыв. Предел равен ∞, поэтому это точка разрыва II-го рода.

Ответ:

Точка x1=-1 является точкой разрыва II-го рода.

Приложения:
Вас заинтересует