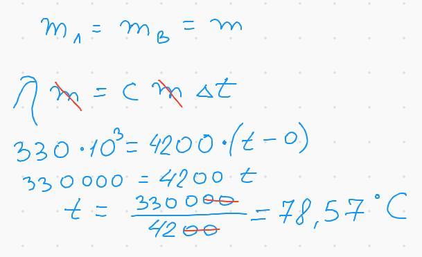
В горячую воду положили лед, масса которого равна массе воды. По-
сле того как весь лед растаял, температура воды снизилась до 0°С.
Определите начальную температуру
воды, если начальная температура
t, °C
льда 0°С?
Условие и решение пожалуйста.
Ответы
Ответ дал:
5
Ответ:
78,57.
Объяснение:
Теплота плавления льда равна теплоте охлаждения воды.
Приложения:

Вас заинтересует
2 года назад
2 года назад
2 года назад
2 года назад
7 лет назад
7 лет назад
9 лет назад
9 лет назад