Ответы
Ответ дал:
1
Ответ:
решение на фото в приложении
Приложения:

gorodilka06:
было указано по действиям
Ответ дал:
1
Ответ:
Объяснение:
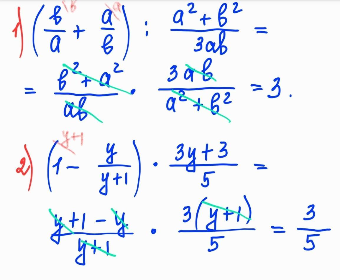
1. Сначала выполним сложение в скобках. Общий знаменатель двух дробей:
Дополнительный множитель для первой дроби:
Дополнительный множитель для второй дроби:
2. Деление на дробь равносильно умножению на обратную дробь:
Ответ: 3.
1. Сначала выполним вычитание в скобках. Единицу представим как дробь со знаменателем 1:
Общий знаменатель двух дробей:
Дополнительный множитель для первой дроби:
Дополнительный множитель для второй дроби:
2. Вынесем тройку за скобки в числителе второй дроби:
Ответ: 0,6.
Вас заинтересует
2 года назад
2 года назад
2 года назад
7 лет назад
7 лет назад
9 лет назад