• Предмет: Алгебра
  • Автор: shvetspss
  • Вопрос задан 3 года назад

все расписать, срочно. даю 50 баллов

Приложения:

Ответы

Ответ дал: Universalka
1

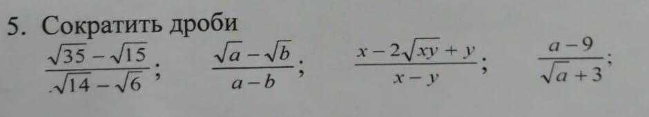
1)\frac{\sqrt{35}-\sqrt{15}}{\sqrt{14} -\sqrt{6}}=\frac{\sqrt{7*5}-\sqrt{3*5}}{\sqrt{7*2} -\sqrt{3*2}}=\frac{\sqrt{5}(\sqrt{7}-\sqrt{3})}{\sqrt{2}(\sqrt{7}-\sqrt{3})} =\frac{\sqrt{5} }{\sqrt{2}}=\frac{\sqrt{5}*\sqrt{2}}{\sqrt{2}*\sqrt{2}}=\frac{\sqrt{10}}{2}\\\\\\2)\frac{\sqrt{a}-\sqrt{b}}{a-b} =\frac{\sqrt{a}-\sqrt{b}}{(\sqrt{a})^{2}-(\sqrt{b})^{2}}=\frac{\sqrt{a}-\sqrt{b}}{(\sqrt{a}-\sqrt{b})(\sqrt{a}+\sqrt{b})}=\frac{1}{\sqrt{a}+\sqrt{b}}

3)\frac{x-2\sqrt{xy}+y}{x-y}=\frac{(\sqrt{x})^{2}-2\sqrt{xy}+(\sqrt{y})^{2}}{(\sqrt{x})^{2}-(\sqrt{y})^{2}} =\frac{(\sqrt{x}-\sqrt{y})^{2}}{(\sqrt{x}-\sqrt{y})(\sqrt{x}+\sqrt{y})}=\frac{\sqrt{x}-\sqrt{y}}{\sqrt{x}+\sqrt{y}}\\\\\\4)\frac{a-9}{\sqrt{a}+3 }=\frac{(\sqrt{a})^{2}-3^{2}}{\sqrt{a}+3}}=\frac{(\sqrt{a}+3)(\sqrt{a}-3)}{\sqrt{a}+3 }=\sqrt{a}-3

Ответ дал: Kean1234
1

Ответ:

1) \frac{\sqrt{35} - \sqrt{15} }{\sqrt{14} - \sqrt{6}} = \frac{\sqrt{10}}{2}

2) \frac{\sqrt{a} - \sqrt{b} }{a - b} = \frac{1}{\sqrt{a} + \sqrt{b} }

3)  \frac{x - 2\sqrt{xy} + y }{x -y} =  \frac{\sqrt{x} - \sqrt{y}}{\sqrt{x} + \sqrt{y}}

4) \frac{a - 9}{\sqrt{a} + 3} = \sqrt{a} - 3

Объяснение:

#1

\frac{\sqrt{35} - \sqrt{15} }{\sqrt{14} - \sqrt{6}}

  • Избавимся от иррациональности в знаменателе

\frac{(\sqrt{35} - \sqrt{15}) * ( \sqrt{14} - \sqrt{6}) }{( \sqrt{14} - \sqrt{6}) * ( \sqrt{14} - \sqrt{6})}  = \frac{(\sqrt{35} - \sqrt{15}) * ( \sqrt{14} - \sqrt{6}) }{8}

  • Перемножим выражения в скобках

\frac{(\sqrt{35} - \sqrt{15}) * ( \sqrt{14} - \sqrt{6}) }{8} = \frac{\sqrt{490} + \sqrt{210} - \sqrt{210} - \sqrt{90}  }{8} = \frac{\sqrt{490} - \sqrt{90} }{8} = \frac{7\sqrt{10} - 3\sqrt{10} }{8} = \frac{4\sqrt{10} }{8} = \frac{\sqrt{10} }{2}

#2

\frac{\sqrt{a} - \sqrt{b} }{a - b}

Формула разности квадратов:

x^2 - y^2 = (x - y)(x+y)

  • Воспользуемся ею

\frac{\sqrt{a} - \sqrt{b} }{a - b} = \frac{\sqrt{a} - \sqrt{b} }{(\sqrt{a} - \sqrt{b})(\sqrt{a} + \sqrt{b})} = \frac{1}{\sqrt{a} + \sqrt{b}}

#3

\frac{x - 2\sqrt{xy} + y }{x -y}

Формула квадрата разности:

(x - y)^2 = x^2 - 2xy + y^2

  • Воспользуемся ею и формулой квадрата разности (описывал #2)

\frac{x - 2\sqrt{xy} + y }{x -y} = \frac{(\sqrt{x} - \sqrt{y})^{2}  }{(\sqrt{x} - \sqrt{y})(\sqrt{x} + \sqrt{y}) } = \frac{\sqrt{x} - \sqrt{y}}{\sqrt{x} + \sqrt{y}}

#4

\frac{a - 9}{\sqrt{a} + 3}

  • Воспользуемся формулой квадрата разности (описывал #2)

\frac{a - 9}{\sqrt{a} + 3} = \frac{(\sqrt{a} + 3)(\sqrt{a} - 3)}{\sqrt{a} + 3} = \sqrt{a} - 3

Вас заинтересует