• Предмет: Математика
  • Автор: nvozmishevnazgul
  • Вопрос задан 3 года назад

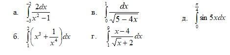
Вычислить определенный интеграл

Приложения:

Ответы

Ответ дал: Alievafidan10
1

Думаю всё понятно

Удачи))

Приложения:
Вас заинтересует