• Предмет: Алгебра
  • Автор: yulianna1
  • Вопрос задан 3 года назад

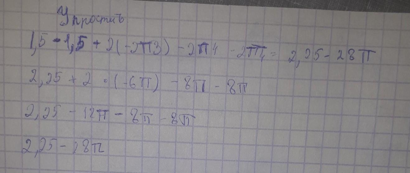
1,5⋅1,5+2(−2π3)−2π4−2π4 =

Ответы

Ответ дал: daniyalkadirbekov39
1

Ответ:

........

.

.

.

.

.

Объяснение:

Ответ на фотке

Приложения:

daniyalkadirbekov39: сделай лучшим ..
daniyalkadirbekov39: если не трудно
Вас заинтересует