• Предмет: Алгебра
  • Автор: infnit1
  • Вопрос задан 3 года назад

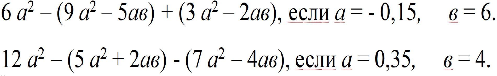
Найдите значение выражения

Приложения:

Ответы

Ответ дал: mirmovsumovaaziza
1

6a²-9a²+5ab+3a²-2ab= 6a²-9a²+3a²+5ab-2ab=3ab

3×(-0,15)×6=-0,09×3= - 0,27

12a²-5a²-2ab-7a²+4ab= 12a²-5a²-7a²-2ab+4ab=2ab

2×0,35×4=0,07×4=0,28

Вас заинтересует