• Предмет: Алгебра
  • Автор: porechina666gmailcom
  • Вопрос задан 3 года назад

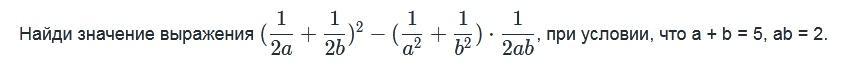
Решите пожалуйста))
Заранее спасибо!

Приложения:

Ответы

Ответ дал: rexpew19
0

Ответ:

держи дружочек пирожочек :ь

Приложения:
Вас заинтересует