• Предмет: Математика
  • Автор: danchar
  • Вопрос задан 3 года назад

Решите пожалуйста. 35 баллов.

Приложения:

Ответы

Ответ дал: Miroslava227
1

Ответ:

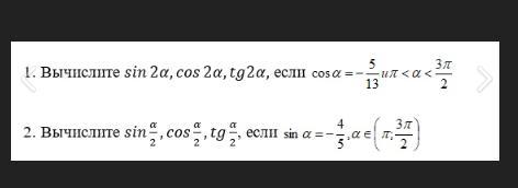
1.

 \cos( \alpha )  =  -  \frac{5}{13}

III четверть => sin(a) будет отрицательным.

 \sin( \alpha )  =  -  \sqrt{1 -  { \cos( \alpha ) }^{2} }  =  -  \sqrt{1 -  \frac{25}{169} }  =  -  \sqrt{ \frac{144}{169} }  =  -  \frac{12}{13}

 \sin(2 \alpha )  = 2 \sin( \alpha )  \times  \cos( \alpha )  = 2 \times ( -  \frac{5}{13} ) \times ( -  \frac{12}{13} ) =  \frac{120}{169}

 \cos(2 \alpha )  =  { \cos( \alpha ) }^{2}  -  { \sin( \alpha ) }^{2}  =  \frac{25}{169}  -  \frac{144}{169}  =  -  \frac{119}{169}

 \tan(2 \alpha )  =  \frac{ \cos(2 \alpha ) }{ \sin(2 \alpha ) }  =  -  \frac{119}{169}   \times  \frac{169}{120}  =  -  \frac{119}{120}

2.

 \sin( \alpha )  =  -  \frac{4}{5}

угол принадлежит III четверти => cos(a) отрицательный.

 \cos( \alpha )  =  -  \sqrt{1 -  \frac{16}{25} }  =  -  \sqrt{ \frac{9}{25} }  =  -  \frac{3}{5}

 \sin(  \frac{ \alpha }{2} )  =  \sqrt{ \frac{1 -  \cos( \alpha ) }{2} }

Так как здесь угол делится пополам, значит он попадает в предыдущую четверть (II), поэтому перед корнем минус не появляется.

 \sin( \frac{ \alpha }{2} )  =  \sqrt{ \frac{1  +  \frac{3}{5} }{2} }  =  \sqrt{ \frac{8}{5}  \times  \frac{1}{2} }  =   \sqrt{ \frac{4}{5} }  =  \frac{4}{ \sqrt{5} }

 \cos(  \frac{ \alpha }{2} )  =  \sqrt{ \frac{1 +  \cos( \alpha ) }{2} }

То же самое, но у косинуса во II четверти знак минус, значит ставим его перед корнем.

 \cos( \frac{  \alpha }{2} )  =  -  \sqrt{ \frac{1  -  \frac{3}{5} }{2} }  =  -  \sqrt{ \frac{2}{5}  \times  \frac{1}{2} }  =   - \frac{1}{ \sqrt{5} }

 \tan( \frac{ \alpha }{2} )  =  \frac{ \sin( \frac{ \alpha }{2} ) }{ \cos( \frac{ \alpha }{2} ) }  =  \frac{4}{ \sqrt{5} }  \times ( -  \sqrt{5} ) =  - 4

Вас заинтересует