• Предмет: Алгебра
  • Автор: sweev2005
  • Вопрос задан 3 года назад

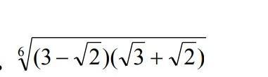
Помогите, пожалуйста, алгебра 10 класс​

Приложения:

Ответы

Ответ дал: gnom1328
2

Ответ:

прикреплю фото так , как долго знаки писать

Приложения:
Вас заинтересует