Ответы
Ответ дал:
0
Ответ:
5151.
Пошаговое объяснение:
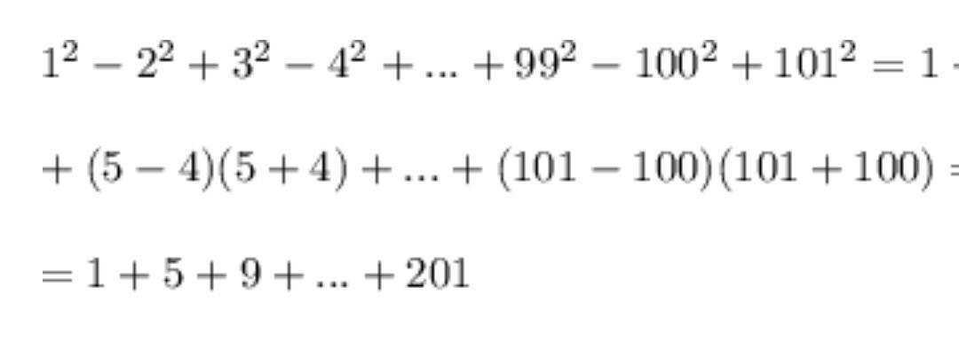
Воспользуемся формулой сокращенного умножения, а именно применим разность квадратов. (фото 1)
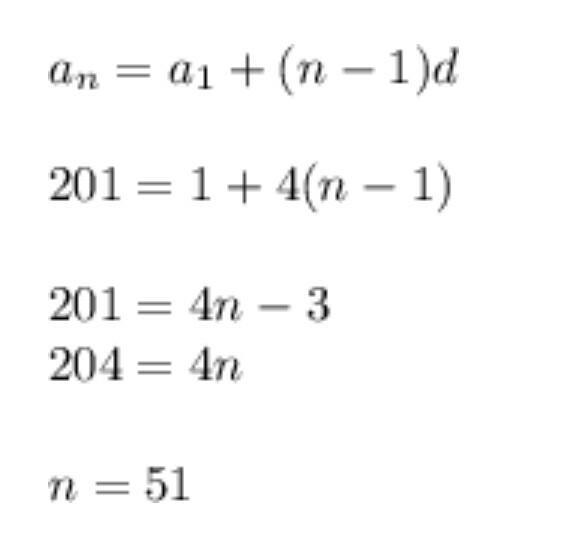
Заметим, что это арифметическая прогрессия с первым членом a1=1 и разностью прогрессии d=4 (фото 2)
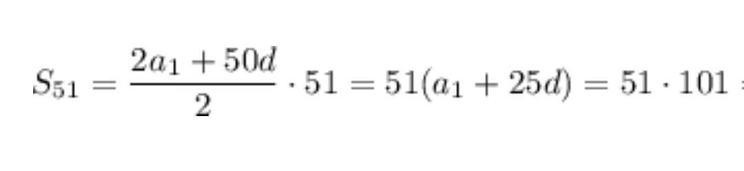
Найдем сумму первых 51 членов арифметической прогрессии (фото 3)
Приложения:



sargaron:
Как получилась разница квадратов?
Вас заинтересует
2 года назад
2 года назад
2 года назад
7 лет назад
7 лет назад
9 лет назад