• Предмет: Алгебра
  • Автор: thestarmoonplay
  • Вопрос задан 3 года назад

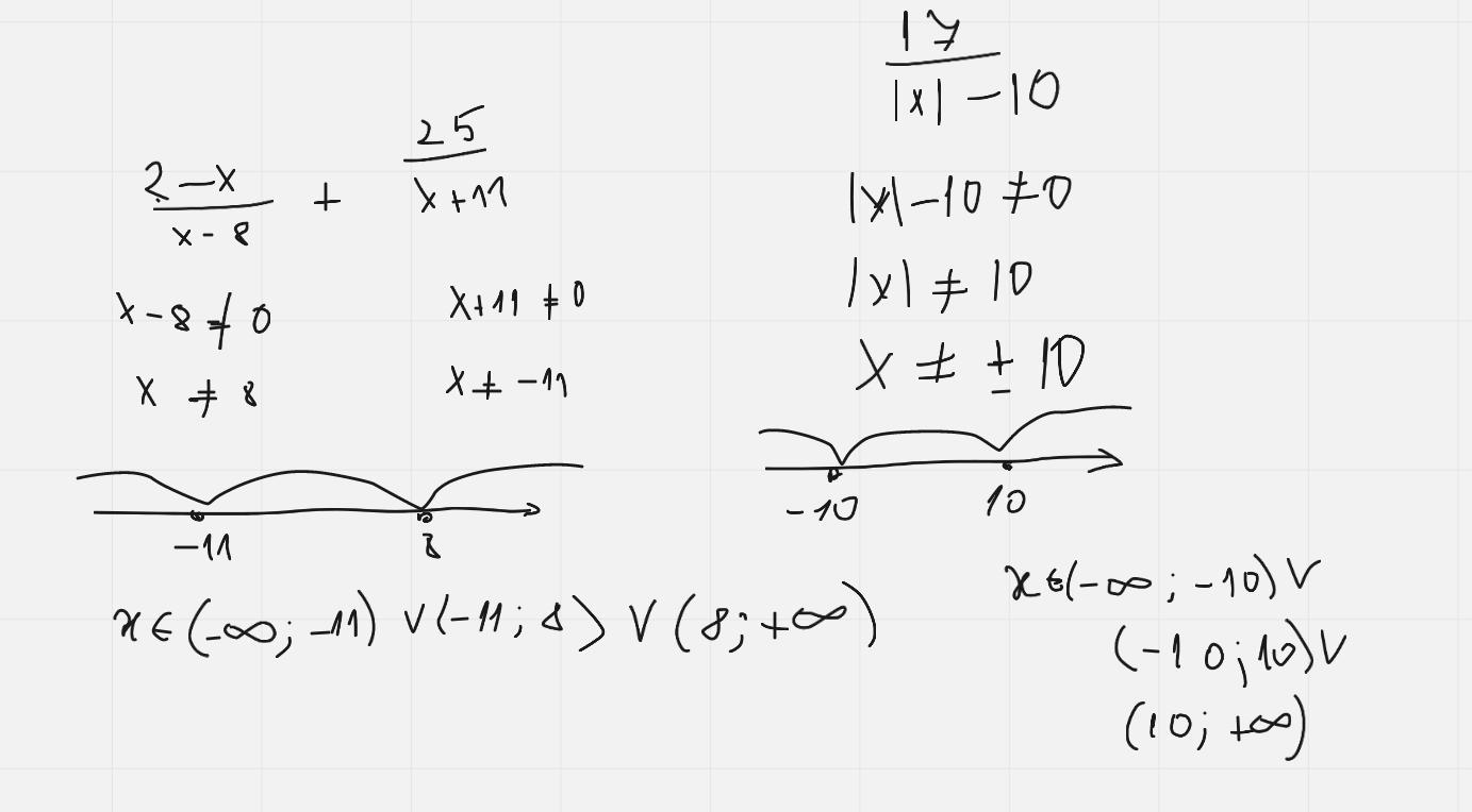
Найдите область определения :
 \frac{2 - x}{x  - 8}  +  \frac{25}{x + 11}
 \frac{17}{ |x| - 10  }

Ответы

Ответ дал: Omikami
1

Ответ в прикрепленном файле

Приложения:

thestarmoonplay: пасиб
Вас заинтересует