• Предмет: Математика
  • Автор: srhaafianeulrov60
  • Вопрос задан 3 года назад

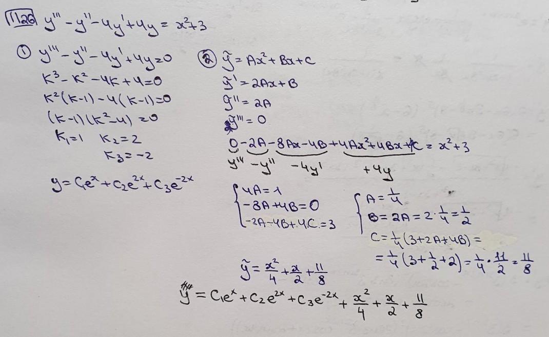
Решить дифференциальные уравнения .Если не сложно, ответы от руки пожалуйста.

Приложения:

Ответы

Ответ дал: Miroslava227
1

Ответ:

решение на фотографиях

Приложения:
Вас заинтересует