• Предмет: Математика
  • Автор: DenDreting
  • Вопрос задан 3 года назад

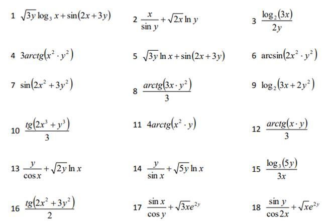
Помогите Жить хочу (Хотя бы 80%)

Приложения:

Miroslava227: производные?
DenDreting: Вычисление частных производных функций нескольких переменных.

Ответы

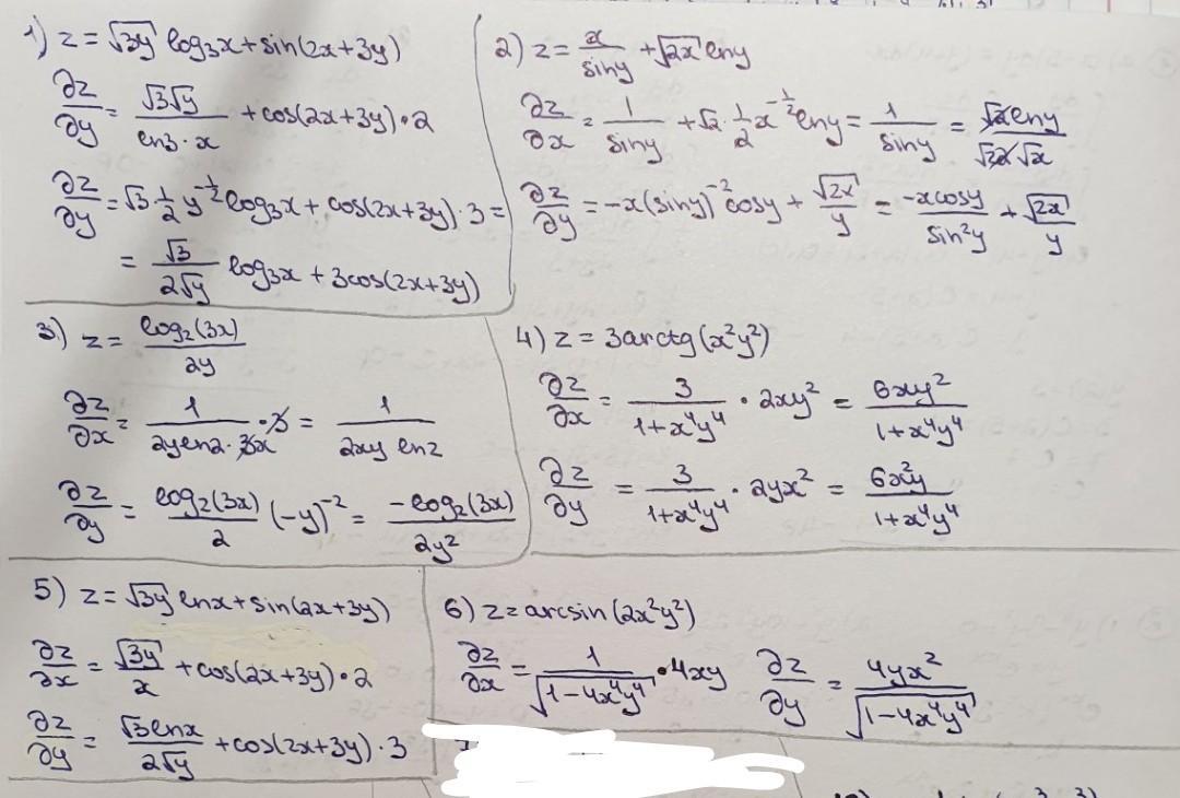
Ответ дал: Miroslava227
1

Ответ:

решение на фотографиях

Приложения:

DenDreting: Уважаю Награждаю Спасибо Вам :D
Вас заинтересует