• Предмет: Алгебра
  • Автор: meamka685
  • Вопрос задан 3 года назад

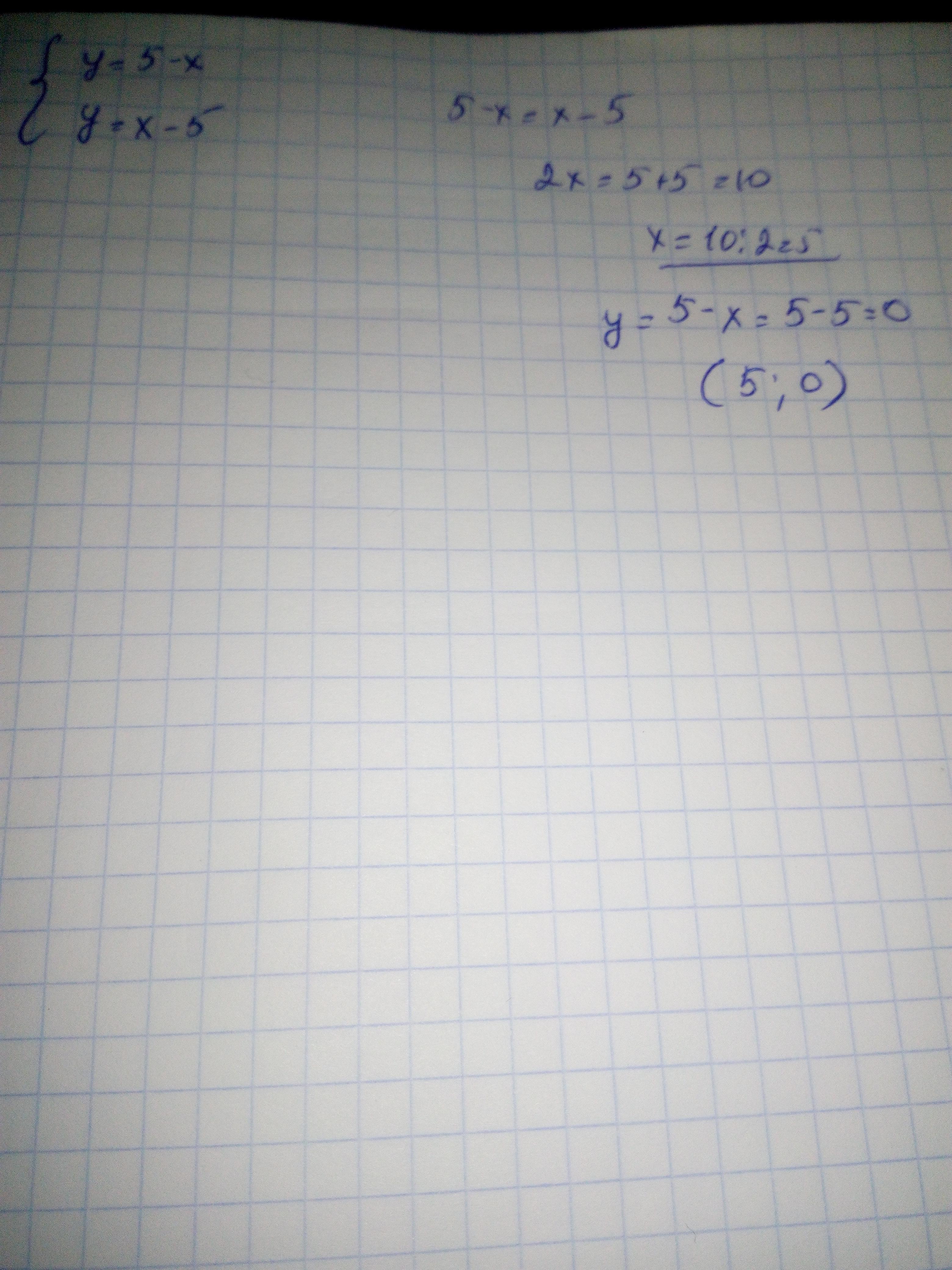
Найдите точку пересечения графиков функций: У=5-x и У=x-5​

Ответы

Ответ дал: PinkesRose
1

Ответ:в файле

Объяснение:

Приложения:
Вас заинтересует