• Предмет: Математика
  • Автор: Ruxen
  • Вопрос задан 3 года назад

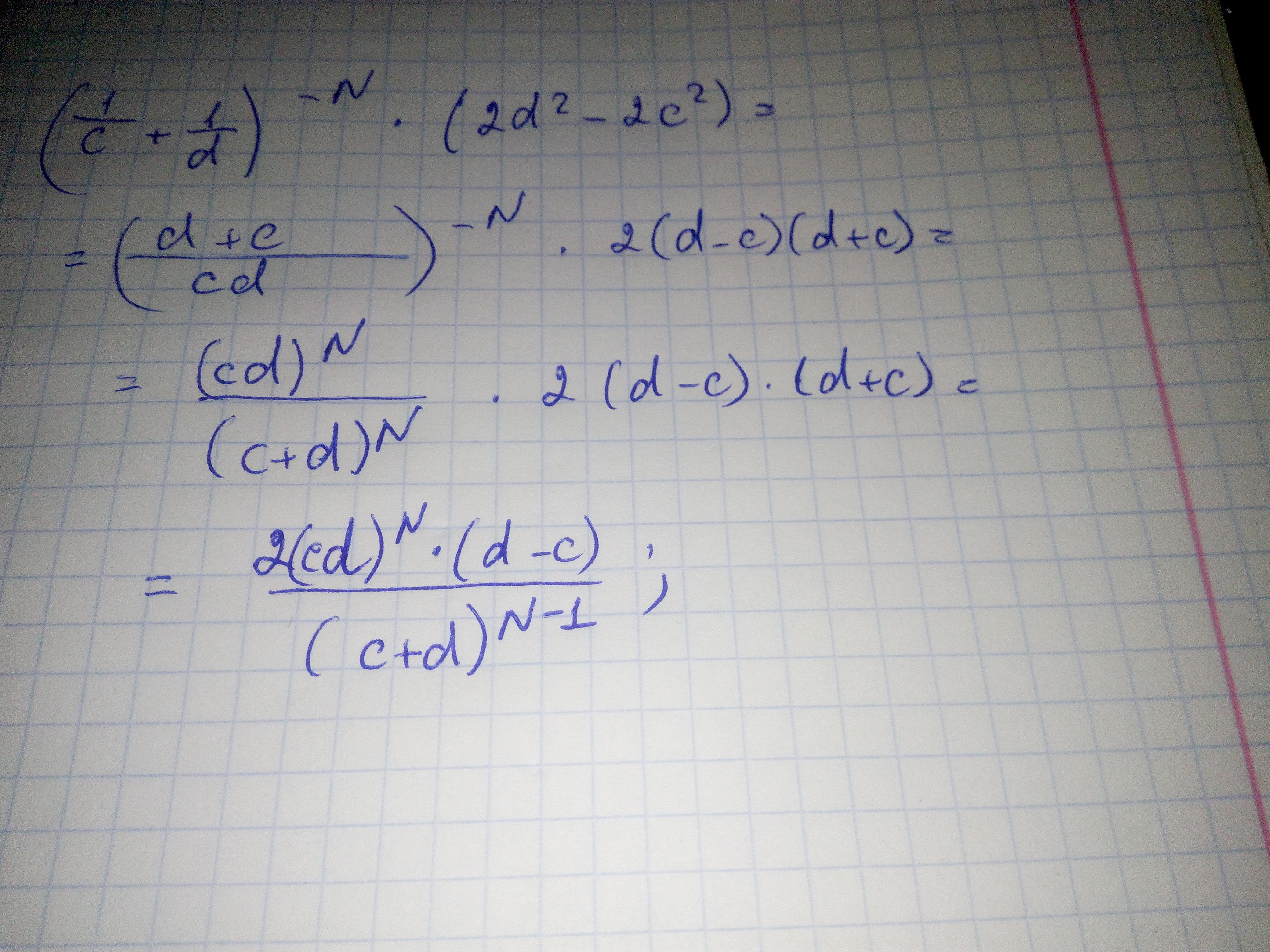
Люди, помогите упростить выражение.

Приложения:

Ответы

Ответ дал: PinkesRose
1

Ответ:в файле

Пошаговое объяснение:

Приложения:

Ruxen: спасибо, большое
Вас заинтересует