Ответы
Ответ дал:
2
Ответ:
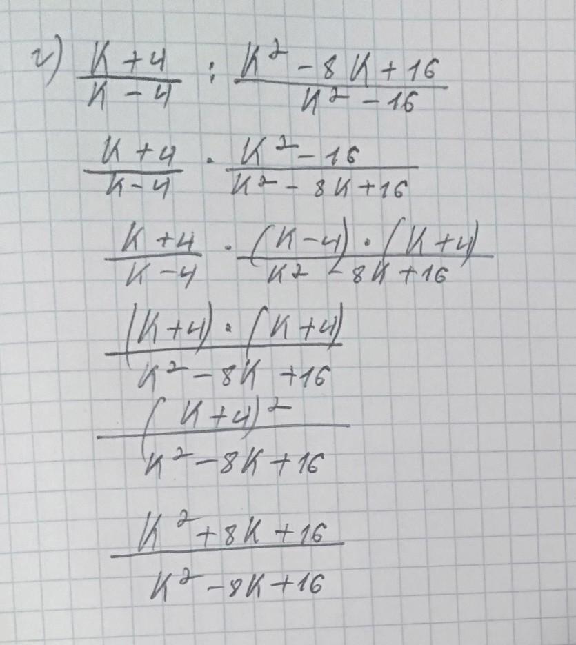
Здраствуйте,ответ указен на фотографии.
Объяснение:
...
Приложения:


Вас заинтересует
2 года назад
2 года назад
2 года назад
2 года назад
7 лет назад
7 лет назад
9 лет назад