• Предмет: Математика
  • Автор: akeu406
  • Вопрос задан 3 года назад

Вычислить определенный интеграл помогите решить даю 50 баллов

Приложения:

Ответы

Ответ дал: natalyabryukhova
1

Ответ:

Пошаговое объяснение:

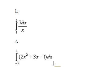
\int\limits^5_1 {\frac{7}{x} } \, dx =7ln|x|\;|^5_1=7(ln5-ln1)=7ln5\\\\\int\limits^1_{-3} {(2x^2+3x-1)} \, dx=(2*\frac{x^3}{3}+3*\frac{x^2}{2}-x)\;|^1_{-3}=(\frac{2}{3}+\frac{3}{2}-1)-(-\frac{2*27}{3}+\frac{3*9}{2}+3)=\frac{7}{6}-(-18+\frac{27}{2} +3)=\frac{7}{6}+\frac{9}{6}=\frac{16}{6}=2\frac{2}{3}

Вас заинтересует