• Предмет: Алгебра
  • Автор: dolgovayuliya1julia
  • Вопрос задан 3 года назад

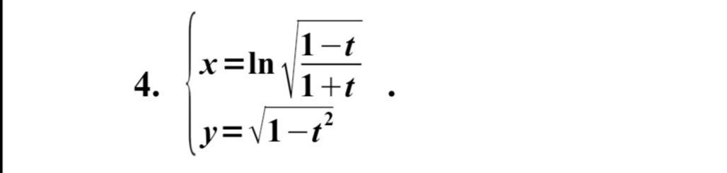
Вычислить производную функции y(x) :

Приложения:

Ответы

Ответ дал: rumanezzo
0

Объяснение:

y'_{x} =  \frac{y'_{t}}{x'_{t}}

x'_{t} =\frac{1}{2}\sqrt{\frac{1+t}{1-t}}\sqrt{\frac{1+t}{1-t}}\frac{-(1+t)-(1-t)}{(1+t)^{2}} =-\frac{1}{2}\frac{1+t}{1-t}\frac{2}{(1+t)^{2}}=\frac{1}{t^{2}-1}

y'_{t} =\frac{-2t}{2\sqrt{1-t^2} } =-\frac{t}{\sqrt{1-t^2}}

y'_{x} =  \frac{y'_{t}}{x'_{t}} = -\frac{t(t^2-1)}{\sqrt{1-t^2}}=\frac{t(\sqrt{1-t^2})^2}{\sqrt{1-t^2}}=t\sqrt{1-t^2}

Вас заинтересует