• Предмет: Алгебра
  • Автор: pasecnikluda85
  • Вопрос задан 3 года назад

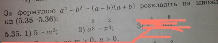
Помогите пожалуйста. Помогите пожалуйста. Помогите пожалуйста мне!!!!!!!!!!​

Приложения:

Ответы

Ответ дал: leradeeva063
1

Ответ:

знаю только 2 там :1/3 (умнож) (9а-2х)

Вас заинтересует