Ответы
Ответ дал:
1
Ответ:
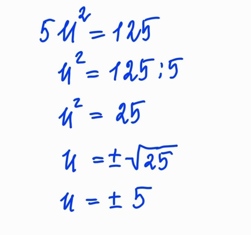
решение на фото в приложении
Приложения:

Ответ дал:
1
Ответ:
u=50
Объяснение:
5 u/2=125
5u=125*2
5u=250
u=250:5
u=50
Вас заинтересует
2 года назад
2 года назад
2 года назад
2 года назад
7 лет назад
7 лет назад
9 лет назад
9 лет назад