Помогите пожалуйста
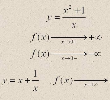
y = (x−2)exp(−1/ x)
1. Найти область определения функции
2. Проанализировать поведение функции вблизи точек разрыва
(вертикальные асимптоты)
3. Проанализировать поведение функции при больших значениях
аргумента (горизонтальные, наклонные или другие асимптоты)
4. Исследовать функцию на локальный экстремум. Найти интервалы
возрастания и убывания.
5. Имеет ли функция точки перегиба? Если имеет, то найти эти точки
6. Построить схематично график функции.
Ответы
Ответ дал:
0
Ответ:
Ну да как то так вот да.......
Приложения:





vecnamolodost:
не уверен что точно так
Вас заинтересует
2 года назад
2 года назад
2 года назад
2 года назад
7 лет назад
9 лет назад
9 лет назад