Ответы
Ответ дал:
1
Ответ:
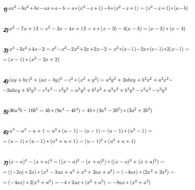
Прикрепил фото.
Приложения:

ZhNura:
Опять же нету 8 примера:(
Вас заинтересует
2 года назад
2 года назад
2 года назад
2 года назад
7 лет назад
9 лет назад