• Предмет: Алгебра
  • Автор: Tanita003
  • Вопрос задан 3 года назад

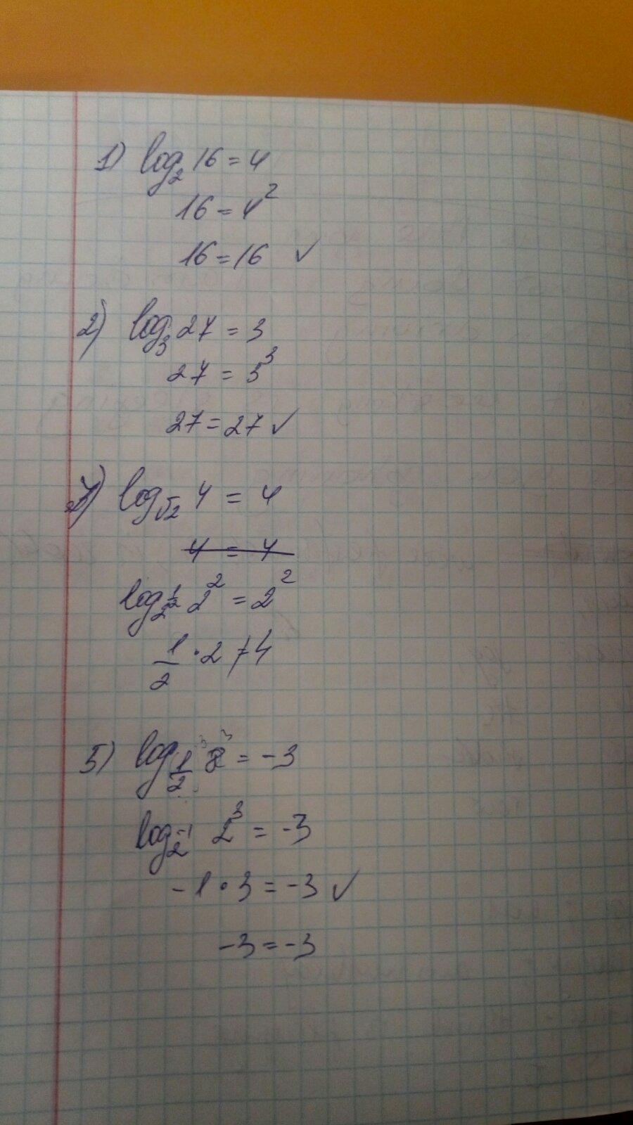
Перевірте правильність рівності (логарифми числа).
Помогите пожалуйста, очень надо

Приложения:

Ответы

Ответ дал: vikababyak2003
1

Відповідь:

Пояснення:

Приложения:

Tanita003: спасибо большое
Вас заинтересует