Решите задачи, 5 класс.
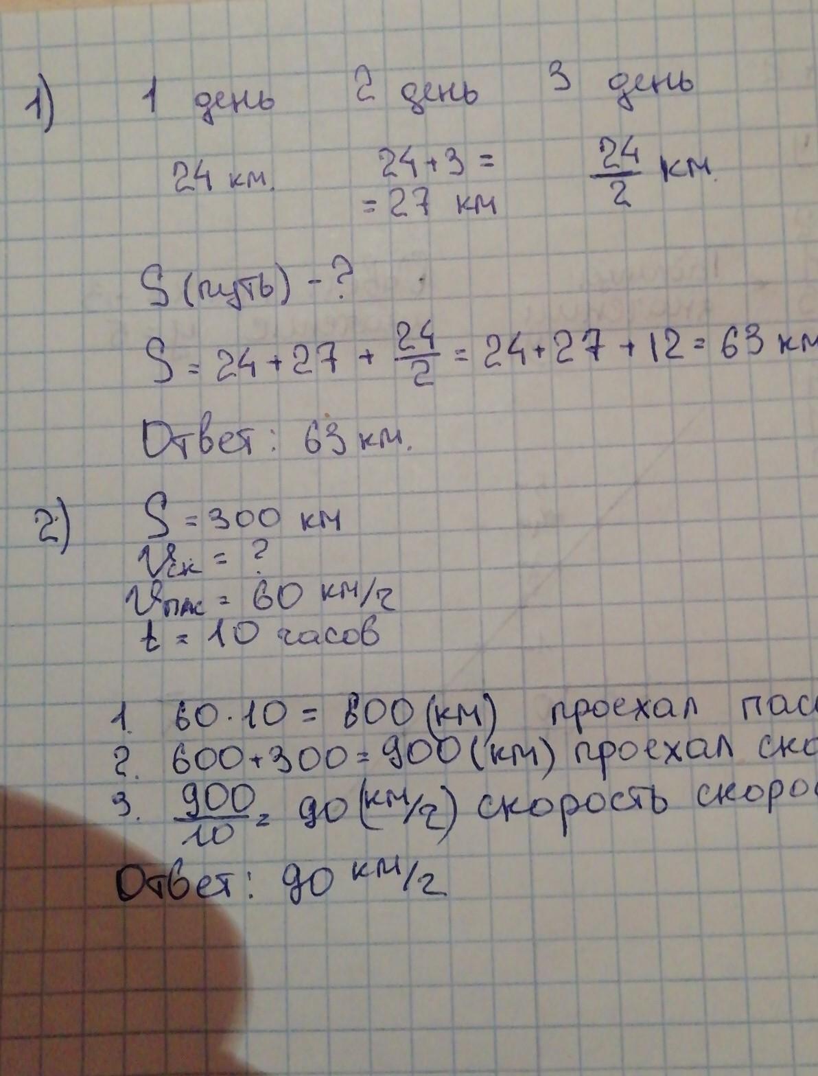
1) Весь маршрут туристы прошли за 3 дня. В первый день они прошли 24 км, во второй день – на 3 км больше, а в третий день – в 2 раза меньше, чем в первый. Сколько км составил весь маршрут?
2) Из двух городов, расстояние между которыми 300 км, одновременно в одном направлении выехали скорый и пассажирский поезда. Скорость пассажирского поезда – 60 км/ч. Через 10 часов пути скорый поезд догнал пассажирский. С какой скоростью двигался скорый поезд?
СРОЧНО, ПОЖАЛУЙСТА
Ответы
Ответ дал:
0
Ответ: 1) весь путь составит 24+24+3+24/2=51+12=63 км.
2) скорость равна (300+60*10)/10=90 км/час.
Пошаговое объяснение:
Ответ дал:
0
Ответ:
Во 2 задаче первое действие - путь пассажирского, второе - путь скоростного, а третье - скорость скоростного поезда
Приложения:

Вас заинтересует
2 года назад
2 года назад
2 года назад
2 года назад
7 лет назад
7 лет назад
9 лет назад