• Предмет: Математика
  • Автор: ilkin240
  • Вопрос задан 3 года назад

Дифференциальные уравнения , неразрешенные относительно производной.

Помогите
Решить дифференциальное уравнение:

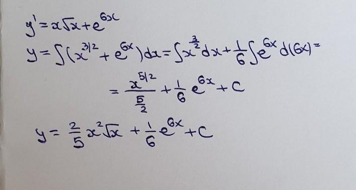
y ' - x\sqrt{x} = e^{6x}

Ответы

Ответ дал: Miroslava227
1

Ответ:

решение на фотографии

Приложения:
Вас заинтересует