• Предмет: Математика
  • Автор: prostotom
  • Вопрос задан 3 года назад

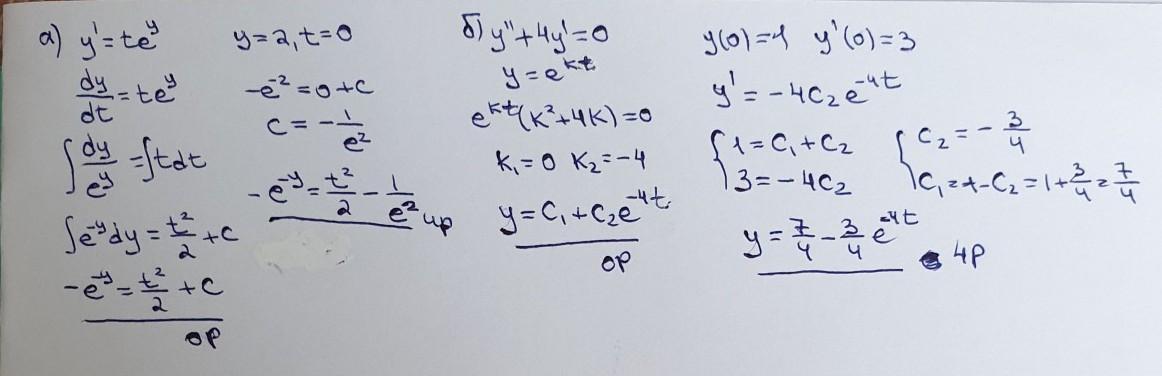
Обыкновенные дифференциальные уравнения. Задание на скришотах.

Приложения:

Ответы

Ответ дал: Miroslava227
0

Ответ:

решение на фотографии

Приложения:
Вас заинтересует