• Предмет: Математика
  • Автор: vovaafanasev35
  • Вопрос задан 3 года назад

Кому не сложно решите,буду очень благодарен,чем быстрее тем лучше

Приложения:

Ответы

Ответ дал: Darknessich
0

Ответ:

1)\lim_{x \to \infty} (( 1+\frac{2}{x} )^{3x }) = e^6

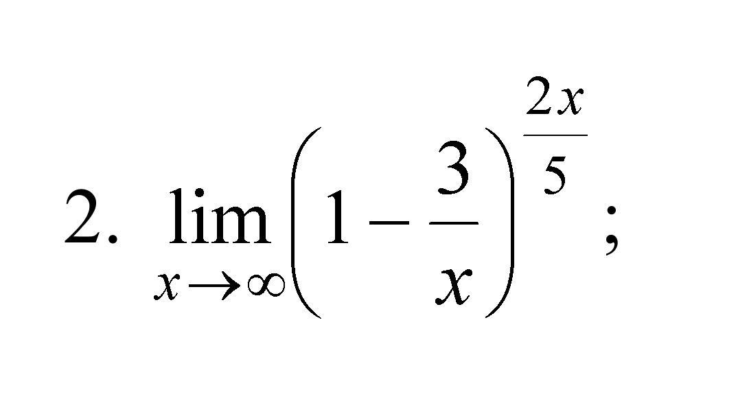
2) \lim_{x \to \infty} (( 1-\frac{3}{x} )^{\frac{2x}{5} }) =  e^{-\frac{6}{5} }

Пошаговое объяснение:

1)\lim_{x \to \infty} (( 1+\frac{2}{x} )^{3x}) =  \lim_{x \to \infty} (( 1+\frac{1}{\frac{x}{2} } )^{6\frac{x}{2} }) =  \lim_{x \to \infty} ((( 1+\frac{1}{\frac{x}{2} } )^{\frac{x}{2} })^6) = e^6

2) \lim_{x \to \infty} (( 1-\frac{3}{x} )^{\frac{2x}{5} }) = \lim_{x \to \infty} (( 1+\frac{1}{-\frac{x}{3} } )^{(-\frac{2*3}{5})(-\frac{x}{3})  })=\\=\lim_{x \to \infty} ((( 1+\frac{1}{-\frac{x}{3} } )^{(-\frac{x}{3})}})^{(-\frac{6}{5})}) = e^{-\frac{6}{5} }


vovaafanasev35: от души
Вас заинтересует