Ответы
Ответ дал:
1
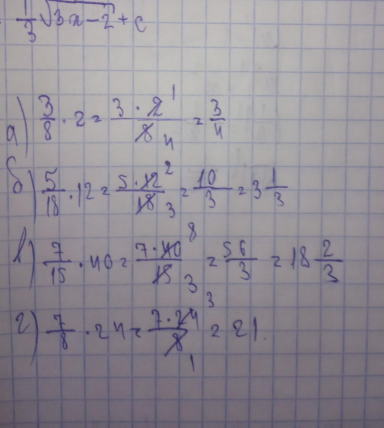
в а) сокращаем на 2
в б) сокращаем на 6
в в) сокращаем на 5
в г) сокращаем на 8
Приложения:

Вас заинтересует
2 года назад
2 года назад
2 года назад
2 года назад
7 лет назад
7 лет назад