• Предмет: Алгебра
  • Автор: farutdinovarenata19
  • Вопрос задан 3 года назад

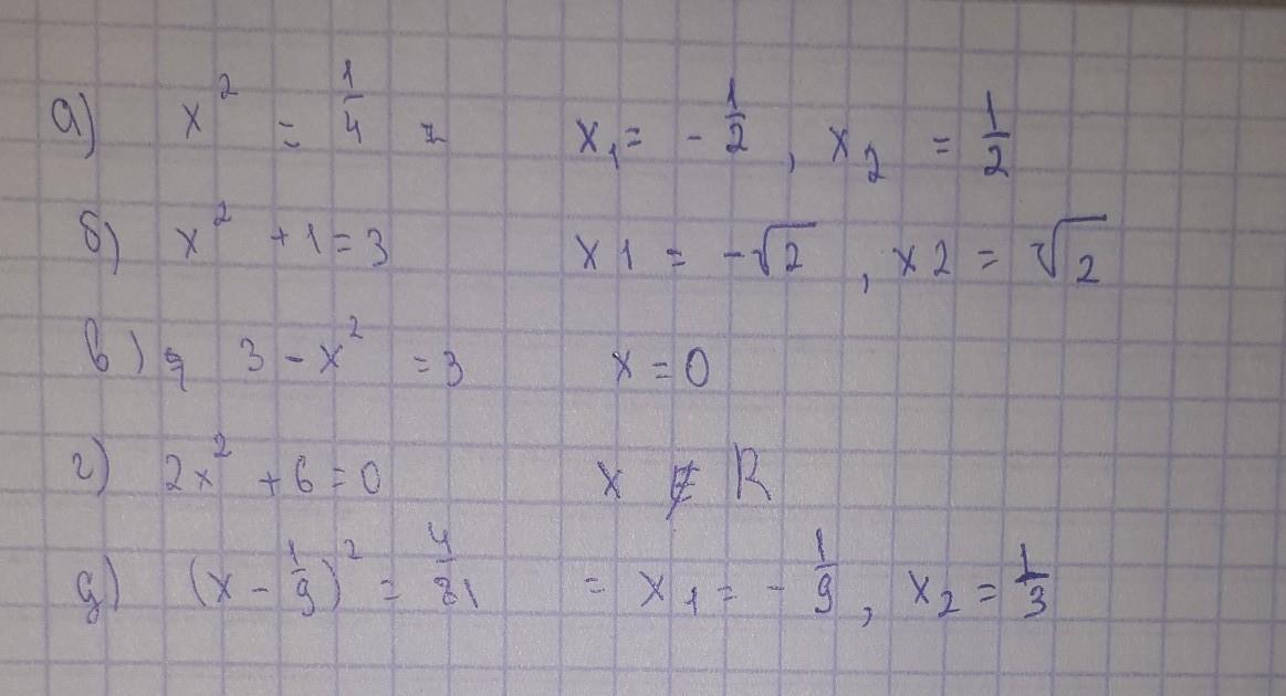
а)x²=¼
б)x²+1=3
в)3-x²=3
г)2x²+6=0
д)(x-⅑)²=4/81
Решите уравнения​

Ответы

Ответ дал: daniyalkadirbekov39
1

Ответ:

Если можно сделай лучшим

Приложения:
Вас заинтересует