• Предмет: Алгебра
  • Автор: statyga
  • Вопрос задан 3 года назад

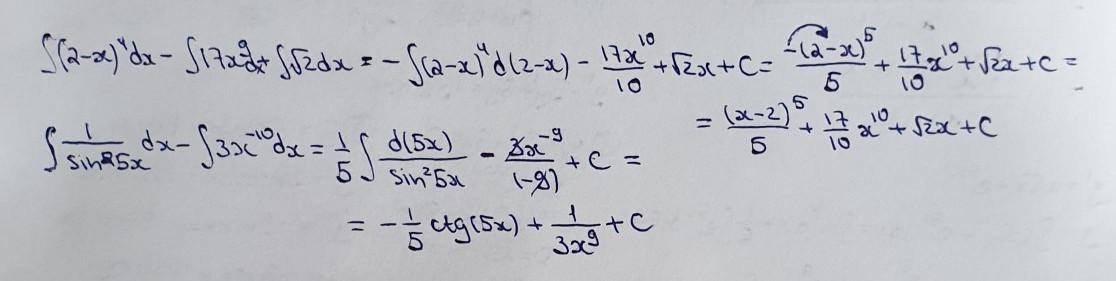
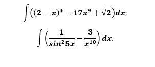
пожалуйста помогите с заданием на нахождение неопределённого интеграла

Приложения:

Ответы

Ответ дал: Miroslava227
0

Ответ:

решение на фотографии

Приложения:
Вас заинтересует