• Предмет: Алгебра
  • Автор: kuka0826
  • Вопрос задан 3 года назад

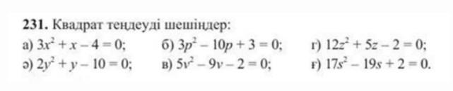
Решите уравнения:
Помогите пожалустай ДАЮ 50-Б​

Приложения:

Ответы

Ответ дал: Пеппер
2

:::::::::::::::::::::::::Объяснение::::::::::::::::::::::::

Приложения:

utalio295: https://znanija.com/task/40417888 помоги пожалуйста
Вас заинтересует