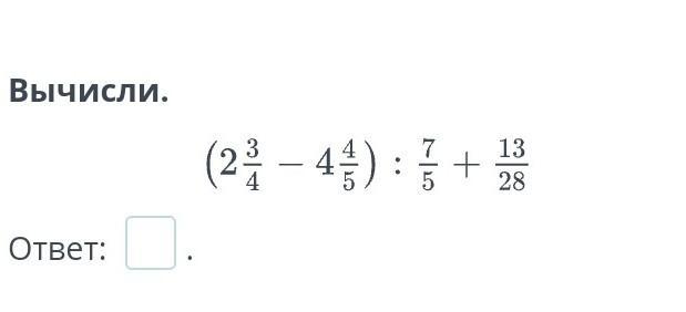
вот это ..............​

Приложения:

vanilla18zh: помогите?
vanilla18zh: поможете *

Ответы

Ответ дал: artemtarasov201078
0

Ответ:

Объяснение:

Тут похоже ошибка

Вас заинтересует