• Предмет: Математика
  • Автор: myrzabekovai0908
  • Вопрос задан 3 года назад

ПОМОГИТЕ ПОЖАЛУЙСТА СРОЧНО
Дам 50 баллов​

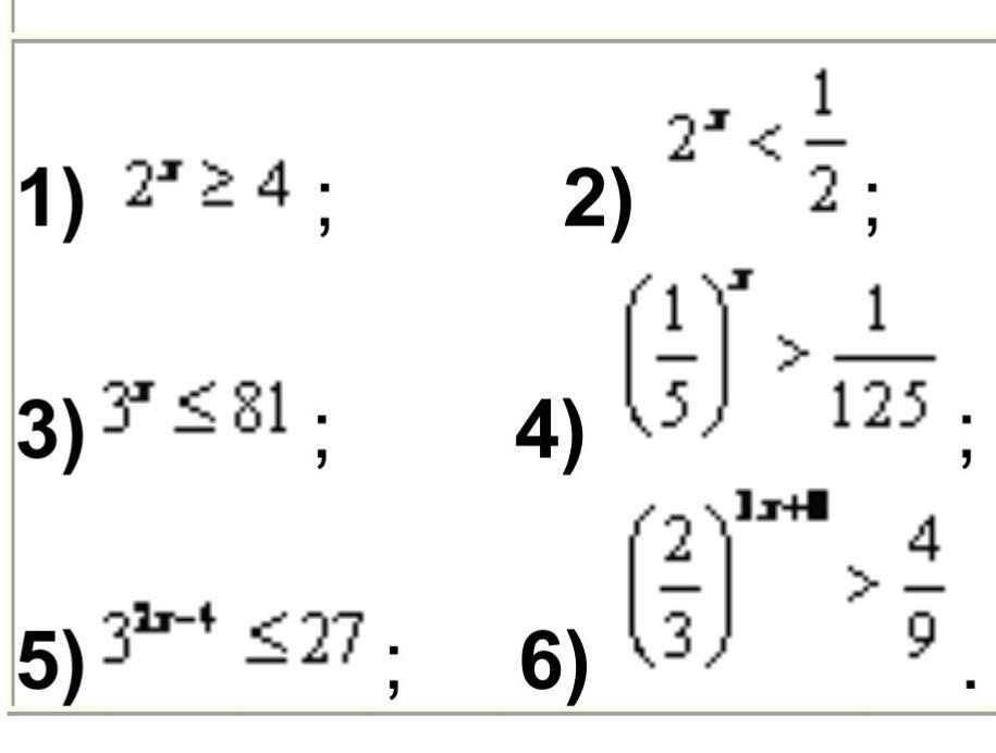
Приложения:

myrzabekovai0908: 1)2^х>=4

Ответы

Ответ дал: milanaaa25
1

Ответ: 1)2x≥2²; х≥2

2)2х <2-¹; х<-1

3)3х≤3⁴;х≤4

4)5-х>5-³; -х>-3; х<3

5)3 2х-4≤3³; 2х-4≤3; 2х≤3+4; 2х≤7; х≤7/2; х≤3,5

Пошаговое объяснение:


myrzabekovai0908: спс❤
Вас заинтересует