• Предмет: Математика
  • Автор: serafimadomik987
  • Вопрос задан 3 года назад

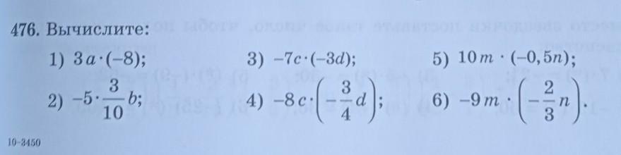
476.Вычислите.
пожалуйста помогите...


Приложения:

Ответы

Ответ дал: nikolikole
9

Пошаговое объяснение:

1)-24а

2)-3/2b

3)21cd

4)6cd

5)-5mn

6)6mn


serafimadomik987: спасибо
Вас заинтересует