• Предмет: Математика
  • Автор: nik7511
  • Вопрос задан 3 года назад

пж 10 балов срочно пожалуйста​

Приложения:

Ответы

Ответ дал: vikaprestinskaa
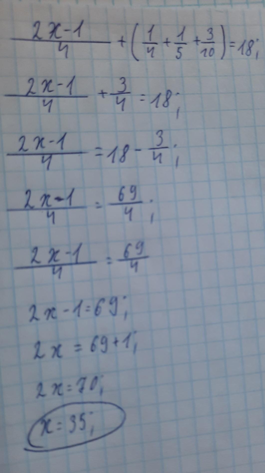
1

Пошаговое объяснение:

Правильный ответ 35.

X=70:2=35

Приложения:
Вас заинтересует