• Предмет: Математика
  • Автор: jkskin
  • Вопрос задан 3 года назад

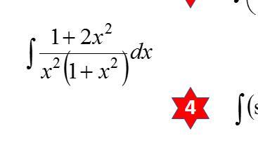
как решить путь к решению

Приложения:

Ответы

Ответ дал: dssadadsdsa
0

Ответ:

913

Пошаговое объяснение:

1+2x:x2(1+x2) dx

Ответ дал: salpyspaeyva
0
*Ответ:913*
*1+2х:х2(1+х2)XX
Вас заинтересует