• Предмет: Математика
  • Автор: Аноним
  • Вопрос задан 3 года назад

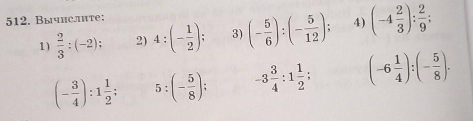
помогите даю 56 баллов​

Приложения:

Ответы

Ответ дал: ildar502020
0

Ответ:

Пошаговое объяснение:

1)  2/3 : (-2)=  -  2/3 * 1/2 = -1/3;

2)  4  : (-1/2)= 4 * (-2)=  -8;

3)  - 5/6 : (- 5/12)=  5/6 * 12/5 = 2;

4)  (- 4 2/3) : 2/9 = - 14/3  *9/2 = -21;

5)  (-3/4) :  1 1/2 = - 3/4 *2/3 = - 1/2;

6)  5 : (- 5/8) = - 5* 8/5 = - 8;

7)   -3 3/4 : 1 1/2 = - 15/4  * 2/3 = - 5/2 = - 2.5;

8) ( - 6 1/4) : ( - 5/8)= 25/4 * 8/5 = 10.

Вас заинтересует