• Предмет: Алгебра
  • Автор: polina13232
  • Вопрос задан 3 года назад


Помогите пожалуйста, очень срочно нужно написать самостоятельную ​

Приложения:

Ответы

Ответ дал: votef
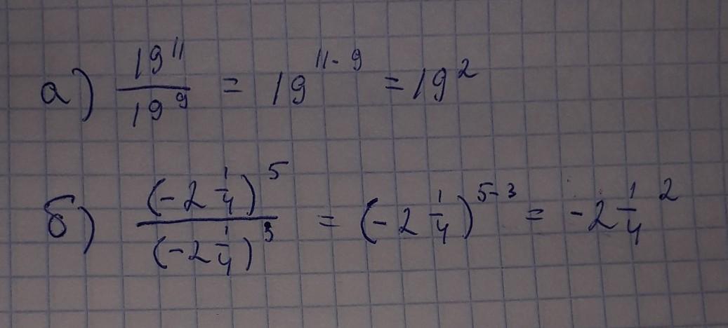
0

Ответ:

Ответ на вложенном фото

Приложения:

polina13232: неверно
votef: Подойдут ли ответы 1) 361 и 2) -1/8?
Вас заинтересует