• Предмет: Алгебра
  • Автор: demyanovajulia
  • Вопрос задан 3 года назад

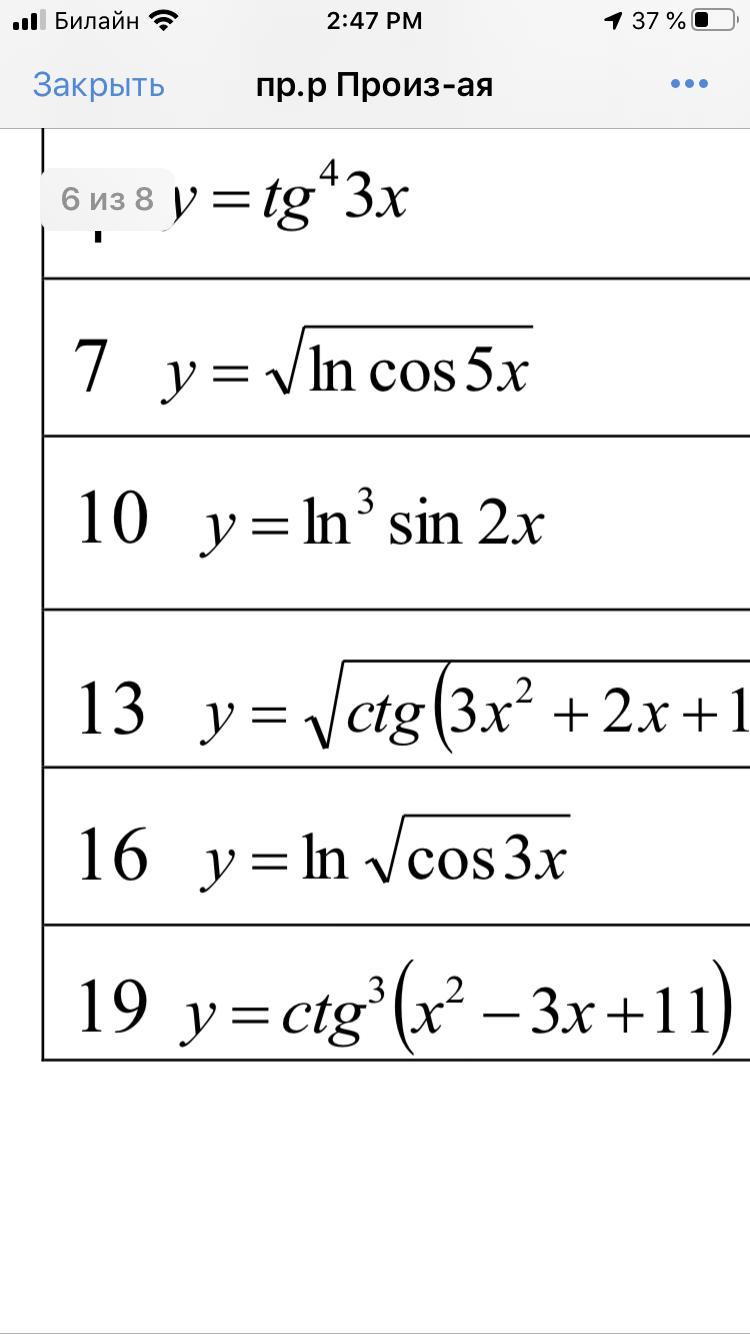
Решите 16 номер пожалуйста

Приложения:

Ответы

Ответ дал: MishaStag
0

d/dx - первая производная от x, sqrt - запись корня

d/dx ln(sqrt(cos(3x))

d/dx ln(cos(3x)^(1/2))

d/dx 1/2*ln(cos(3x))

Будем использовать правило дифференцирования сложной функции, где g=cos(3x), получим

1/2*d/dg(ln(g))*d/dx(cos(3x))

Находим производную данной функции

1/2*1/g*(-3sin(3x))

подставим вместо g его значение, то есть cos(3x)

1/2*1/cos(3x)*(-3sin(3x))

Ответ:

- 3sin(3x)/2cos(3x)

Ответ дал: Miroslava227
0

Ответ:

y' =  \frac{1}{ \sqrt{ \cos(3x) } } \times  \frac{1}{2}   { (\cos(3x)) }^{ -  \frac{1}{2} }  \times ( -  \sin(3x) ) \times 3 =  \frac{ - 3 \sin(3x) }{2 \times  \sqrt{ \cos(3x) } \times  \sqrt{ \cos(3x) }  }  =  \frac{ - 3 \sin(3x) }{2 \cos(3x) }  =  -  \frac{3}{2}  \tan(3x)

Вас заинтересует