• Предмет: Алгебра
  • Автор: demyanovajulia
  • Вопрос задан 3 года назад

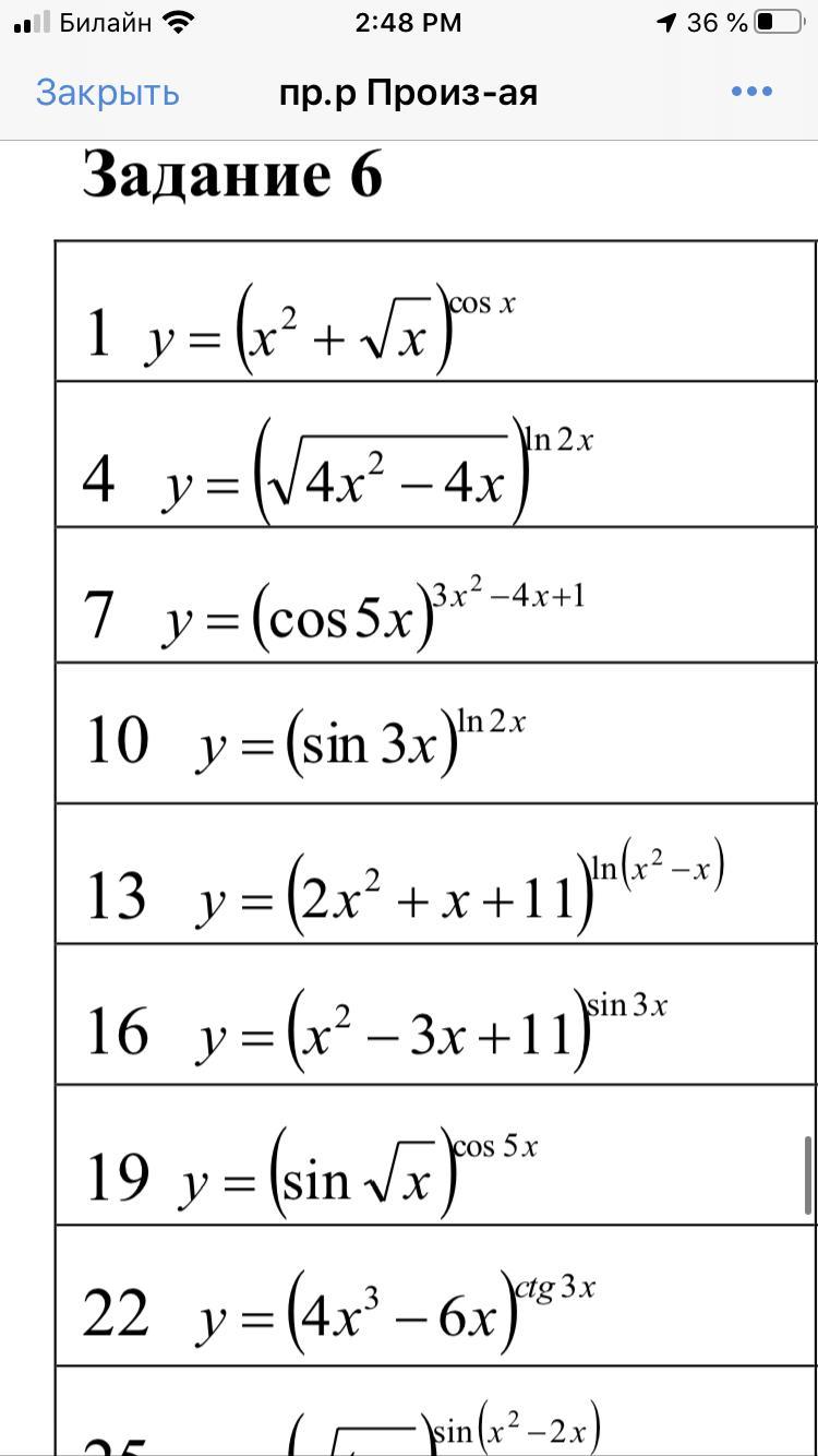
Решите 16 номер пожалуйста!!!

Приложения:

Ответы

Ответ дал: Miroslava227
0

Ответ:

Вычисляем по формуле:

y' = ( ln(y) )' \times y

y =  {( {x}^{2} - 3x + 11) }^{ \sin(3x) }  \\ ( ln(y) )' = ( ln( { {x}^{2} - 3x + 11 )}^{ \sin(3x) } ) ' = ( \sin(3x)  \times  ln( {x}^{2} - 3x + 11 ) )' =  \cos(3x)   \times 3 \times  ln( {x}^{2} - 3x + 11 )  +  \frac{1}{ {x}^{2} - 3x + 11 }  \times (2x - 3) \times  \sin(3x)  \\ y' =  { ({x}^{2}  - 3x + 11(}^{ \sin(3x) }  \times (3 \cos(3x)  \times  ln( {x}^{2}  - 3 + 11)  +  \frac{(2x - 3) \sin(3x) }{ {x}^{2} - 3x + 11 } )

Вас заинтересует