• Предмет: Математика
  • Автор: akalaevasabina70
  • Вопрос задан 3 года назад

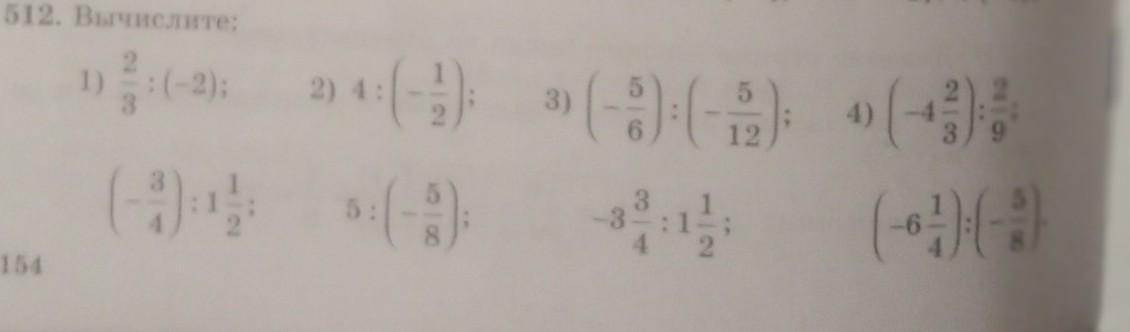
Помогите пжпжпжпжпжпжжп​

Приложения:

Ответы

Ответ дал: dadadadadadadadadad0
0

Ответ:

1) -1/3;       -1/2

2) -8;         -8

3)2;           -5/2

4)-21;         10

Пошаговое объяснение:

Вас заинтересует