• Предмет: Физика
  • Автор: akparovaamina
  • Вопрос задан 3 года назад

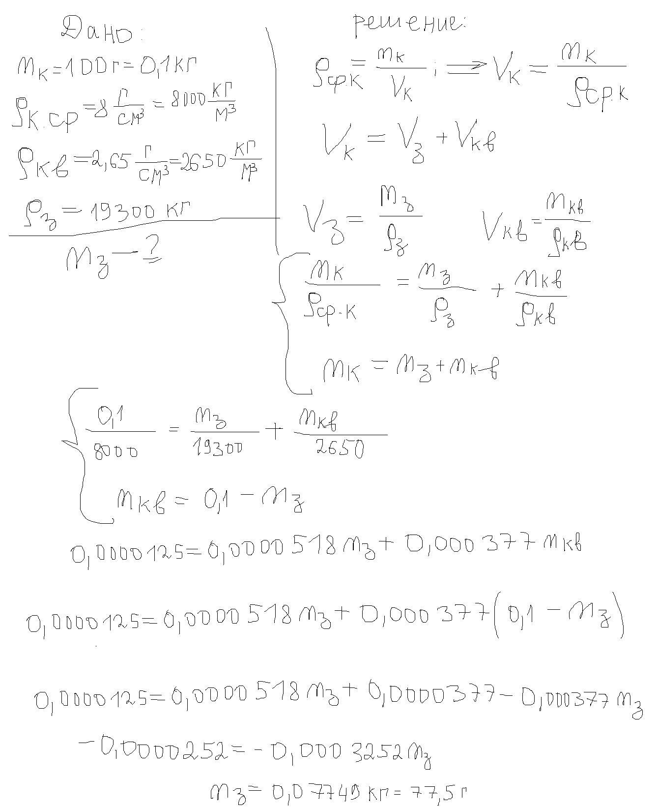
в куске кварца содержится небольшой самородок золота .масса куска равна 100г , а средняя плотность и8г/см3 .определите массу золота ,содержащегося ,в куске кварца,если плотность кварца 2,65г/см3.(77,5г)
по этапно

​​

Ответы

Ответ дал: ssroman72
4

Ответ:

решение смотреть на картинке

Объяснение:

Приложения:
Вас заинтересует