• Предмет: Алгебра
  • Автор: vejjewjjesmsjsjejw
  • Вопрос задан 3 года назад

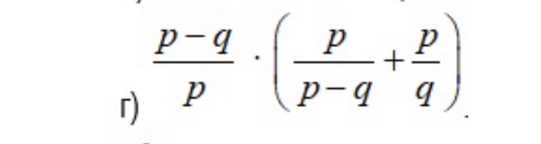
Помогите по алгебре фото прикреплено

Приложения:

Ответы

Ответ дал: shaxlobekmurodova
1

Ответ:

ответ 1

раскроешь скобку а потом решать

Приложения:
Ответ дал: sjsjjsjsjnsnsh
0

Ответ:

p-q/p•p/p-q+p-q/p•p/q=

Вас заинтересует