• Предмет: Алгебра
  • Автор: lanatagirova
  • Вопрос задан 3 года назад

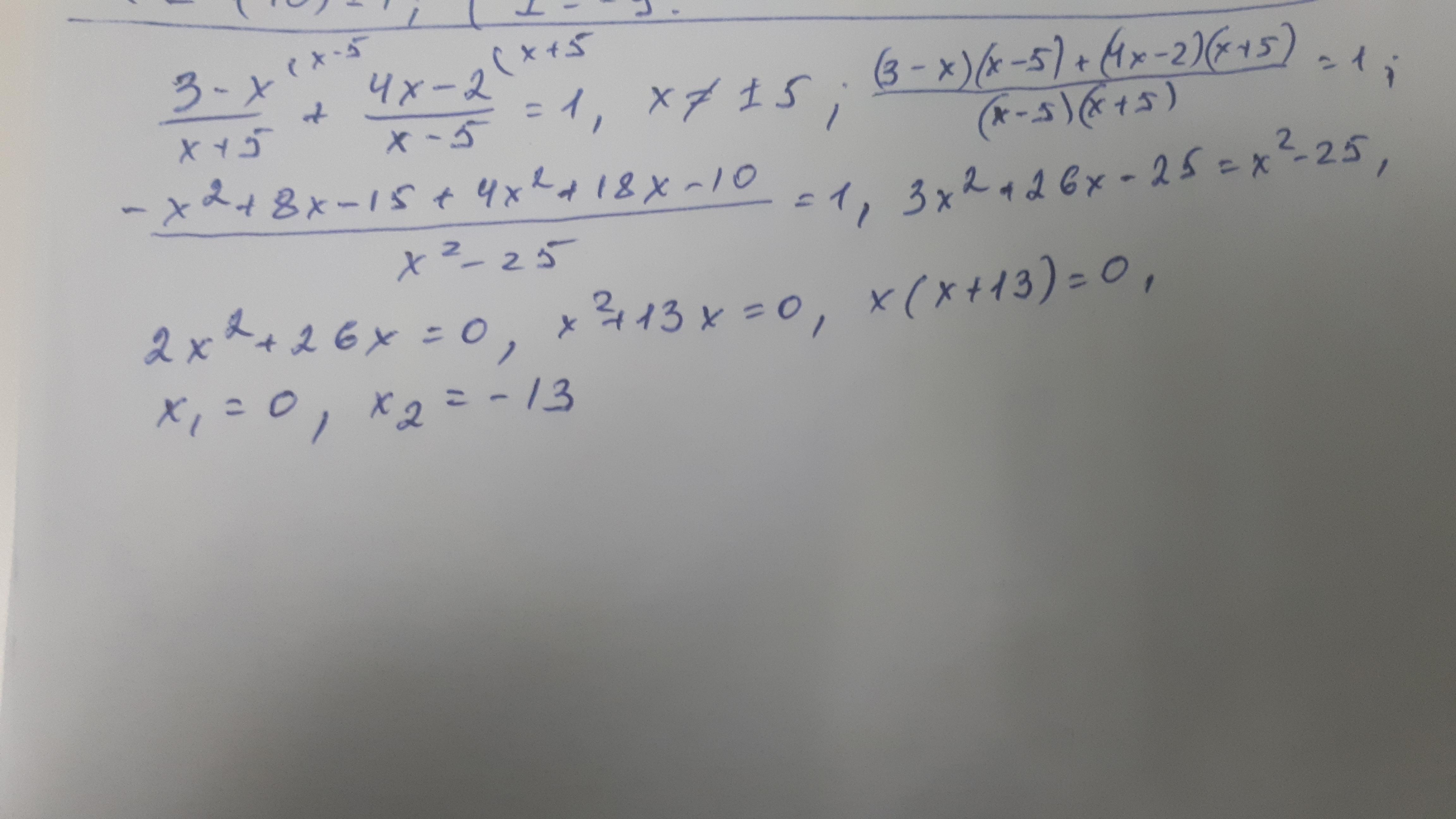
решите уравнение
(3-х)/(х+5) + (4х-2)/(х-5) = 1
пожалуйста ребят​

Ответы

Ответ дал: kanmmu
0

Ответ:

1 и -13

Объяснение:

На фото

Приложения:
Вас заинтересует